这篇文章写自英文,阅读原文章.
由于本文暂未被翻译成中文,请使用下面工具选项进行翻译

Introduction

Motivation: we want a data structure to store elements that offers efficient, arbitrary retrieval
(search), insertion, and deletion

  • Array-based Lists
    • $O(n)$ insertion and deletion
    • Fast index-based retrieval
    • Efficient binary search if sorted
  • Linked Lists
    • Efficient, $O(1)$ insert/delete for head/tail
    • Inefficient, $O(n)$ arbitrary search/insert/delete
    • Efficient binary search not possible without random access
  • Stacks and queues are efficient, but are restricted access data structures
  • Possible alternative: Trees
  • Trees have the potential to provide $O(\log n)$ efficiency for all operations

Definitions & Terminology

  • • A tree is an acyclic graph
  • For our purposes: a tree is a collection of nodes (that can hold keys, data, etc.) that
    are connected by edges
  • Trees are also oriented: each node has a parent and children
  • A node with no parents is the root of the tree, all child nodes are oriented downward
  • Nodes not immediately connected can have an ancestor, descendant or cousin relationship
  • A node with no children is a leaf
  • A tree such that all nodes have at most two children is called a binary tree
  • A binary tree is also oriented horizontally: each node may have a left and/or a right
    child
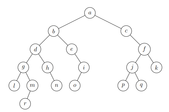
  • Example A Binary Tree

Properties:

  • In a tree, all nodes are connected by exactly one unique path

  • The maximum number of nodes at any level $k$ is $2^k$

  • Thus, the maximum number of nodes n for any binary tree of depth d is:

    $$
    n=2^0+2^1+2^2+2^{d-1}+2^d = \sum_{k=0}^d 2^k = 2^{d+1}-1
    $$

  • Given a full binary tree with n nodes in it has depth:

    $$
    d=log(n+1)-1
    $$

  • That is, $d=O(logn)$
    Motivation: if we can create a tree-based data structure with operations proportional to its depth, then we could potentially have a data structure that allows retrieval/search, insertion, and deletion in $O(log n)-time$.